Exercice : Clic droit vers l’exercice
Tout le corrigé :
Dans cet exercice de variation, on ne passera pas par la dérivation car en général, les élèves n’ont pas vu ce chapitre à ce moment là.
Cours :
Pour étudier les variations de f, on doit prendre a < b et comparer f(a) et f(b).
Si on a f(a) < f(b), la fonction est strictement croissante (on garde le « <« ).
Si on a f(a) ≤ f(b), la fonction est juste croissante (on garde le sens de l’inégalité).
Si on a f(a) > f(b), la fonction est strictement décroissante (on passe à « > »).
Si on a f(a) ≥ f(b), la fonction est strictement décroissante (on change le sens de l’inégalité).
Corrigé des questions :
1) Sur I = [-7 ; -1] avec
u(x) = 1/x
et
v(x) = -8/x.
Une fonction de type fraction est définie quand son dénominateur est différent de 0. Ici le dénominateur est « x » et il doit être différent de 0. Donc c’est bon sur I = [-7 ; -1].
Partons de a < b :
On a donc -1 ≤ a < b ≤ -7
En passant à l’inverse :
1/(-1) ≥ 1/a > 1/b ≥ 1/(-7)
Le sens de l’inégalité change car la fonction « inverse » est strictement décroissante.
On obtient u(a) > u(b).
Pour tout a et b de l’intervalle I, a < b donne u(a) > u(b),
donc la fonction u est strictement décroissante.
Pour v, on reprend l’inégalité précédente :
-1 ≥ 1/a > 1/b ≥ –1/7
+8 ≤ (-8)/a < (-8)/b ≤ +8/7
On obtient v(a) < v(b).
Pour tout a et b de l’intervalle I, a < b donne v(a) < v(b),
donc la fonction v est strictement croissante.
2) Sur I =]-1 ; 0] avec
u(x) = -2x + 5
et
v(x) = √(-2x + 5).
u est une fonction affine dont le coefficient directeur -2 est négatif. Donc u est décroissante.
v est du type racine, il faut donc que l’intérieur soit positif ou nul. Du coup, on fait le tableau de signe du contenu -2x + 5.
-2x + 5 ≥ 0
⇔ -2x ≥ -5
⇔ x ≤ 5/2
(on change le sens des inégalités car on divise par le nombre négatif -2)
Comme a = -2 < 0, la courbe descend, donc la fonction u est d’abord positive puis négative. Donc elle est positive avant 2,5. Comme son contenu est positif, la racine existe donc pour x appartenant à ]-1 ; 0] donc la fonciton v est bien définie.
Pour tout a et b tels que -1 ≤ a < b ≤ 0 :
On a u(-1) ≥ u(a) > u(b) ≥ u(0)
(Changement du sens des inégalités car u est décroissante)
√u(-1) ≥ √u(a) > √u(b) ≥ √u(0)
car la fonction « racine » est strictement croissante pour les réels positifs ou nuls donc on ne change pas le sens des inégalités.
v(-1) ≥ v(a) > v(b) ≥ v(0)
Pour tout a et b de l’intervalle I, a < b donne v(a) > v(b),
donc la fonction v est strictement décroissante (car le sens de l’inégalité a changé)).
3) I = [-5 ; -2] avec
u(x) = x² – 2
et
v(x) = 1/(x² – 2).
u est une fonction polynôme donc définie sur R.
Comme on divise par u(x) pour obtenir la fraction v(x), il faut que u(x) soit différent de 0 sur l’intervalle [-5 ; -2].
Pour cela, on fait un Δ = b2 – 4ac = 8,
x1 = -√2 (environ égal à 1,41).
et x2 = √2 (environ égal à -1,41).
On voit que ces racines ne sont pas dans l’intervalle [-5 ; -2].
Comme on ne divise pas par 0, v est bien définie sur I = [-5 ; -2].
Pour la variation, on prend a et b appartenant à I tel que a < b :
On part de : -5 ≤ a < b ≤ -2
(-5)2 ≥ a2 > b2 ≥ (-2)2
(on change les sens car la fonction « carré » est décroissante sur ]-∞ ; 0]).
25 – 2 ≥ a2 – 2 > b2 – 2 ≥ 2
A partir de a < b, on obtient donc au milieu u(a) > u(b)
donc u est strictement décroissante sur I car le sens de l’inégalité a changé.
Comme on doit passer par l’inverse pour obtenir v, v devient strictement croissante car « inverse » change le sens de variation (La fonction « inverse » est décroissante).
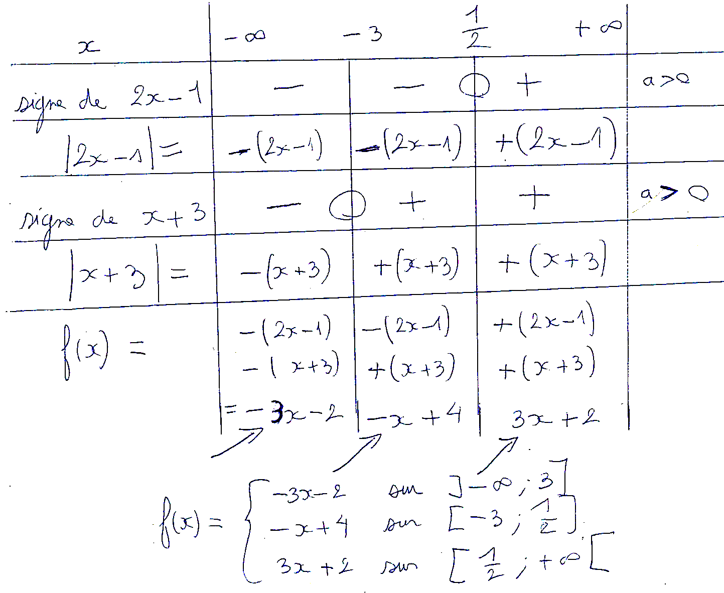
4) f(x) = |2x – 1| + |x + 3| :
Avec des valeurs absolues, la première chose à faire, c’est d’étudier le signe du contenu des valeurs absolues entre les « | » »| ».
Si A ≥ 0, |A| = A.
Si A < 0, |A| = -A.
D’une part :
2x – 1 ≥ 0
⇔ x ≥ 1/2.
Donc le tableau de signe est dans le sens – 0 + car a = 2 > 0.
Du coup, |2x – 1| s’écrit d’abord -(2x-1) car le contenu est négatif pour les x inférieurs à 1/2.
Puis |2x – 1| s’écrit ensuite 2x-1 car le contenu est positif pour les x supérieurs à 1/2.
D’autre part :
x + 3 ≥ 0
⇔ x ≥ -3.
Donc le tableau de signe est dans le sens – 0 + car a = 1 > 0.
Du coup, |x + 3| s’écrit d’abord -(x+3) car le contenu est négatif pour les x inférieurs à -3.
Puis |x+3| s’écrit ensuite x+3 car le contenu est positif pour les x supérieurs à 3.

5) Pour résoudre f(x) = 4, on résout sur chaque intervalle :
-3x – 2 = 4 sur ]-∞ ; -3 ]
⇔ -3x = 6
⇔ x = -2
et on sort de l’intervalle ]-∞ ; -3 ] donc cette valeur ne convient pas.
-x + 4 = 4 sur ] -3 ; 1/2 ]
⇔ -x = 0
⇔ x = 0
que l’on conserve car on est bien dans l’intervalle ] -3 ; 1/2 ].
3x + 2 = 4 sur ] 1/2 ; +∞ [
⇔ 3x = 2
⇔ x = 2/3
que l’on conserve car on est bien dans l’intervalle ] 1/2 ; +∞ [.
On obtient donc S = { 0 ; 2/3 }.

Bonne compréhension,
Sylvain Jeuland
