Exercice : Clic droit vers l’exercice
Tout le corrigé :
f(x) = (2x – 4)/(x + 2)
1) Déterminer le domaine de définition Df de f :
f(x) est un quotient.
Un quotient est défini quand son dénominateur est différent de 0.
Pour déterminer les valeurs exclues (s’il y en a),
résous l’équation dénominateur = 0.
x + 2 = 0
⇔ x = -2.
Donc -2 est une valeur exclue (ou interdite).
Du coup, on ne peut pas choisir -2 pour x, car cela reviendrait à diviser par 0.
Donc Df = ]-∞ ; -2[ ⋃ ]-2 ; +∞[.
Df = R privé de {-2}.
2) Montrer que pour tout réel x de Df,
f(x) = 2 – 8/(x + 2) :
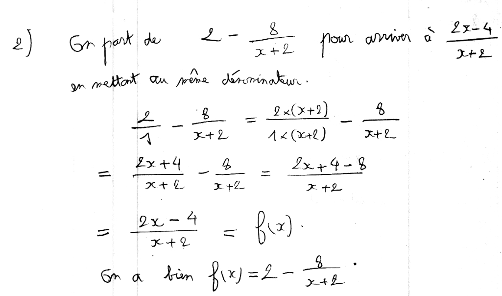
Pour démontrer une telle égalité, on part de la forme développée (celle avec le « moins ») puis on tente d’arriver à la forme « quotient » (celle de l’énoncé). Donc :
2 – 8/(x + 2)
= 2×(x + 2)/(x + 2) – 8/(x + 2) (en mettant au même dénominateur).
= (2x + 4)/(x + 2) – 8/(x + 2) (en distribuant le 2 au 1er numérateur).
= (2x + 4 – (8))/(x + 2) (en rassemblant les numérateurs)
= (2x – 4)/(x + 2)
= f(x) (qu’on met seulement à la fin).
On a donc bien démontré que f(x) = 2 – 8/(x + 2).
A la main, cela donne :

3) Étudier les variations de f sur ]-2 ; +∞[ :
Méthode 1 :
Pour démontrer qu’une fonction est croissante en seconde, la propriété du cours dit qu’il faut :
– Partir de a < b. C’est à dire écrire « a < b » sur la feuille.
– Puis arriver à f(a) ≤ f(b).
En effet, si « a < b donne f(a) ≤ f(b)« , cela veut dire que la fonction f est croissante comme c’est illustré sur l’image ci-dessous.

On voit bien que si on prend a < b et qu’on arrive à f(a) ≤ f(b), alors la courbe monte entre les deux points.
Attention, il faut dire « pour tout a et b tels que a < b« .
Reprenons la formule f(x) = 2 – 8/(x + 2).
Rédaction de la méthode 1 :
Sur ]-2 ; +∞[ :
Pour tout a et b tels que : -2 < a < b (-2 est exclu donc a > -2), on a :
-2 < a < b
⇔ -2+2 < a+2 < b+2 (on ajoute déjà le +2 à côté du « x » au dénominateur de f(x))
⇔ 0 < a+2 < b+2
⇔ 1/(a + 2) > 1/(b + 2) (on passe à l’inverse, et comme la fonction « inverse » est strictement décroissante sur ]0 ; +∞[, on change le sens de l’inégalité « < » en « > »).
On ne s’occupe plus du 0 car on ne peut pas inverser 0.
⇔ 8/(a + 2) > 8/(b + 2) (en multipliant par 8 positif, on garde le sens de l’inégalité).
⇔ –8/(a + 2) < –8/(b + 2) (en multipliant par « -« , on change le sens de l’inégalité).
⇔ 2 – 8/(a + 2) < 2 – 8/(b + 2) (l’ajout ou la soustraction ne change pas le sens)
⇔ f(a) < f(b)
On a donc « a < b donne f(a) < f(b) » ou même « a < b donne f(a) ≤ f(b) » avec une inégalité large. Donc la fonction f est croissante sur ]-2 ; +∞[.
Rédaction de la méthode 2 :

Bonne compréhension,
Sylvain Jeuland