Corrigé N°365 :

Exercice : Clic droit vers l’exercice

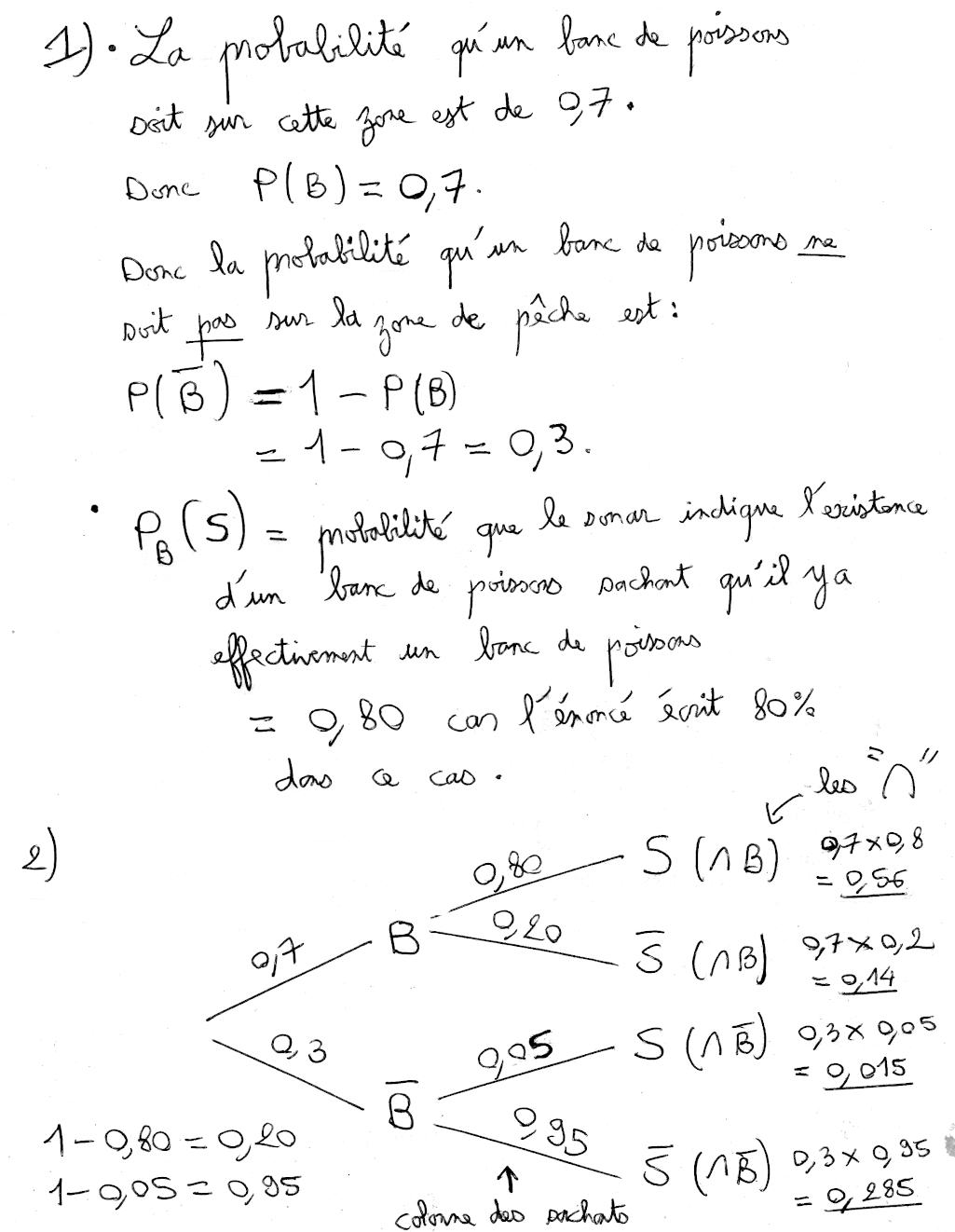
Questions 1-2 : Clic droit vers le corrigé
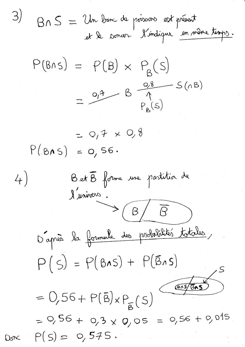
Questions 4-5 : Clic droit vers le corrigé
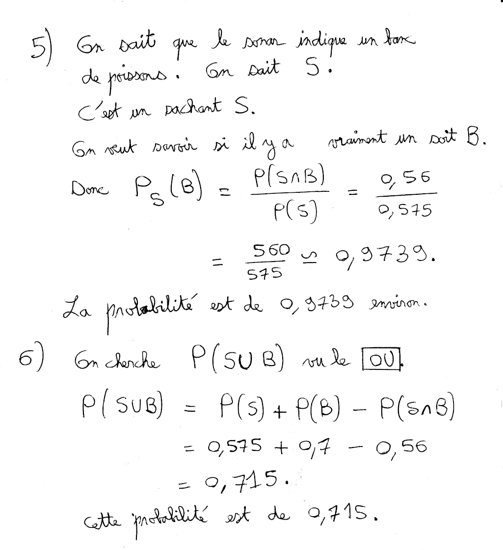
Questions 5-6 : Clic droit vers le corrigé
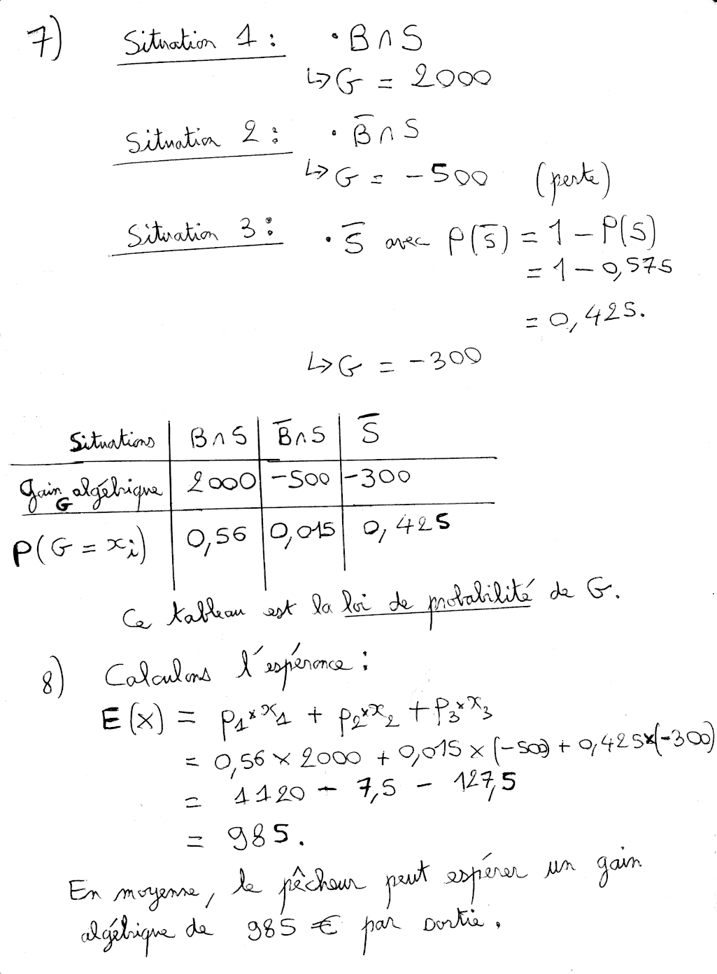
Questions 7-8 : Clic droit vers le corrigé

Pour les terminales :

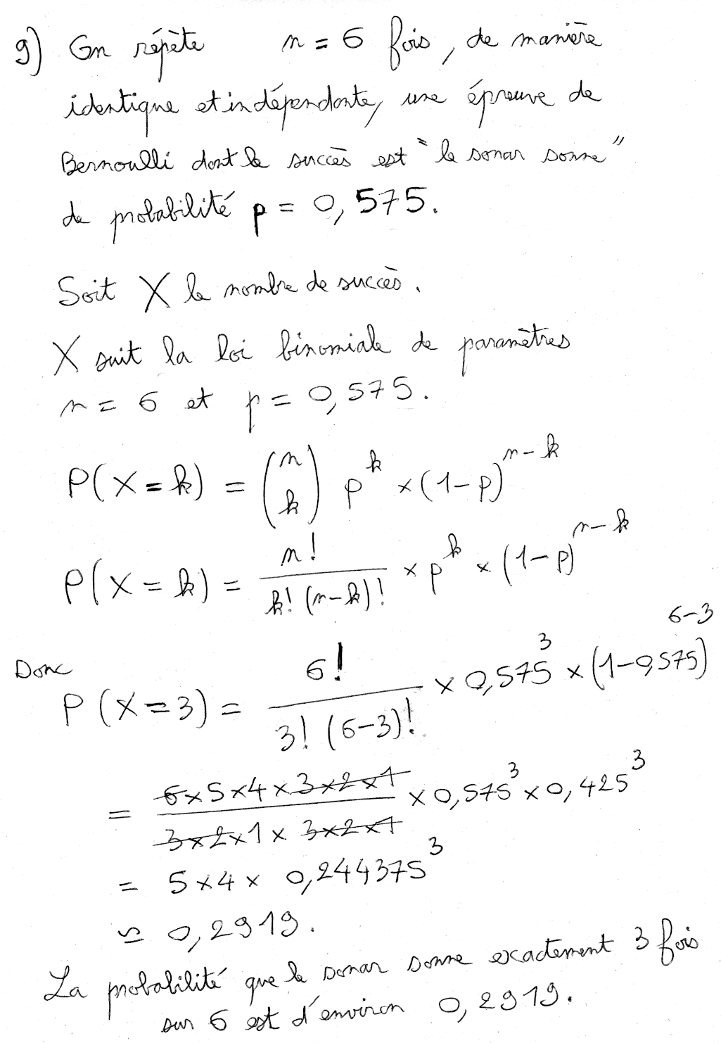
Question 9 : Clic droit vers le corrigé
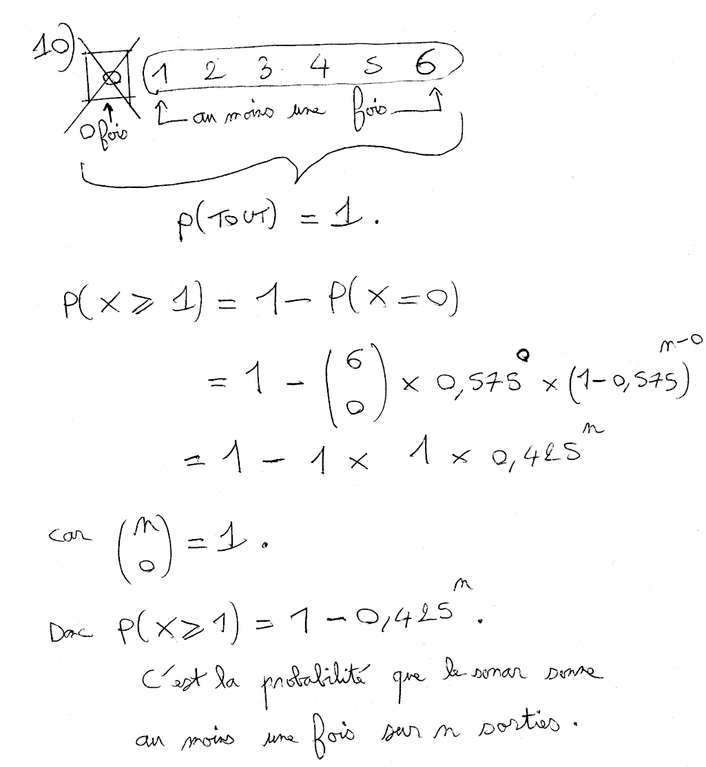
Question 10 : Clic droit vers le corrigé
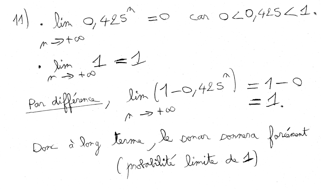
Question 11 : Clic droit vers le corrigé

no comments

Comments are closed.

     

FrenchMaths.com

GRATUIT
VOIR